近日,自然资源部海洋生态系统动力学重点实验室(MED)微生物团队在《Water Research》上发表了题为“Multi-omics insights into seasonal dynamics and interaction networks underpinning planktonic community stability in a subtropical mussel aquaculture system”的研究论文。该研究以枸杞岛贻贝养殖区为对象,系统解析了浮游植物与原核微生物群落的季节动态、相互作用及其对生态系统稳定性的调控机制,为理解高强度人类活动下近海生态系统的响应提供了新的多组学视角。海洋二所2022级硕士研究生王健为本文第一作者,刘倩研究员为通讯作者。
枸杞岛位于舟山群岛东北部,是我国重要的贻贝养殖区。滤食性贻贝对浮游植物群落的摄食压力导致水体中颗粒有机碳输出显著升高,进而影响微生物群落结构与功能。浮游微生物通过复杂的种间互作参与碳与营养盐循环,调控初级生产与生物泵效率,但在集约化养殖等人为干扰下,其群落构建与稳定性维持机制尚不明确。本研究通过环境多组学手段,从时空动态、种间互作及基因表达多个层面,揭示了浮游生物群落稳定性的内在生态学过程,对预测养殖生态系统碳汇潜力和生态韧性具有重要科学意义。本研究基于长期季节性采样,旨在实现以下科学目标:(1)识别驱动原核生物与浮游植物群落时间动态的关键环境因子;(2)解析两类群之间的相互作用网络及其季节演变规律;(3)从功能基因表达层面揭示微生物对浮游植物来源有机质的代谢响应;(4)阐明多样性与种间互作在维持群落稳定性中的作用。
研究团队采用环境DNA与RNA(eNA)联合测序策略,结合生态统计与多组学分析手段。通过非度量多维尺度分析(NMDS)与广义加性模型(GAM)评估群落结构的时间稳定性;利用加权基因共现网络分析(WGCNA)构建浮游植物与原核生物类群之间的共现模块,识别其季节性共变模式;进一步借助宏转录组数据,解析与原核微生物-浮游植物互作相关的关键基因表达特征。
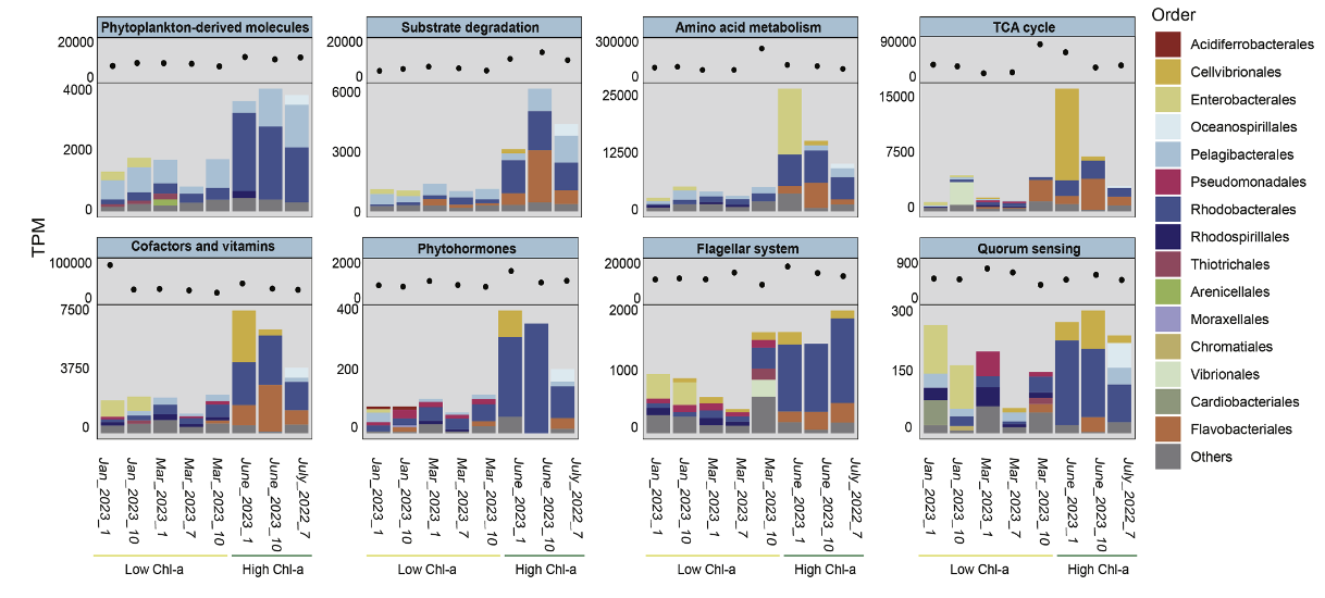
本研究的重要发现揭示,在贻贝养殖区这一典型受干扰生态系统中,浮游植物与原核微生物的α-多样性对其群落组成的稳定性具有积极促进作用。通过构建季节性共现网络,研究发现浮游生物类群间存在动态互作模块,其中黄杆菌目与优势甲藻类群在不同季节(如春夏季)表现出显著增强的关联性(图1)。宏转录组分析进一步从功能层面证实,原核微生物(如红杆菌目和黄杆菌目)活跃表达与有机质降解、代谢循环相关的基因,显示出对浮游植物来源有机物的高度依赖(图2)。这种紧密的互作虽维系了物质循环,但也可能因类群单一化和对易降解碳源的集中利用,在高温环境下加速碳库周转,从而潜在地削弱生态系统的长期稳定性和海洋碳封存能力。

图1 浮游植物与原核微生物ASVs间相互关系及关键互作类群

图2 参与代谢浮游植物来源有机质的主要原核微生物类群
该研究系统揭示了亚热带贻贝养殖区浮游微生物群落的时空动态及其生态互作机制。环境波动是驱动群落变化的重要因素,其中原核微生物对环境变化更为敏感,而浮游植物群落变化受随机过程影响更大。夏季强烈的原核微生物-浮游植物互利共生关系在促进物质循环的同时,也可能因互作关系单一化而削弱系统稳定性。研究结果为深入理解养殖活动影响下近海生态系统的结构与功能响应提供了重要的多组学证据,对可持续养殖管理与海洋碳汇评估具有启示意义。
该研究得到了国家重点研发计划项目(2022YFC3105303)、国家自然科学基金项目(42176038)、自然资源部第二海洋研究所中央级公益性科研院所基本科研业务费专项资金项目(SZ2401)和卫星海洋环境动力学国家重点实验室自主课题(SOEDZZ2204)联合资助。
浙公网安备 33010602009874号